跳转至内容
功能材料与分子影像技术创新
于法标教授课题组
功能材料与分子影像技术创新功能材料与分子影像技术创新
  • CPC branch
    • CPC Members
    • CPC branch
      • 2021
      • 2022
      • 2023
      • 2024
      • CPC branch-2025
      • All Issue
  • Courses
    • Curriculum
    • Undergraduate
    • Class Online
      • 2022
      • 2023
      • 2024
      • Class Online 2025
  • Member
    • Principal Investigator
    • Researcher
    • Academic Visitor
    • Student
  • Research
    • Research fields
    • Journal Articles
    • Patent
    • Project
  • Laboratory
    • News
    • Group Meeting
      • 2022
      • 2023
      • 2024
      • group meeting 2025
    • Cooperation
    • Open Position
    • Instruments
    • DataBase(药品查询)
    • Instrument Reservation(仪器预约)
    • Lab Rooms
    • Contact
  • CPC branch
    • CPC Members
    • CPC branch
      • 2021
      • 2022
      • 2023
      • 2024
      • CPC branch-2025
      • All Issue
  • Courses
    • Curriculum
    • Undergraduate
    • Class Online
      • 2022
      • 2023
      • 2024
      • Class Online 2025
  • Member
    • Principal Investigator
    • Researcher
    • Academic Visitor
    • Student
  • Research
    • Research fields
    • Journal Articles
    • Patent
    • Project
  • Laboratory
    • News
    • Group Meeting
      • 2022
      • 2023
      • 2024
      • group meeting 2025
    • Cooperation
    • Open Position
    • Instruments
    • DataBase(药品查询)
    • Instrument Reservation(仪器预约)
    • Lab Rooms
    • Contact

论文

您在这里:
  1. 首页
  2. 分类 "论文"

Controllable Regulation of Ag2S Quantum-Dot-Mediated Protein Nanoassemblies for Imaging-Guided Synergistic PDT/PTT/Chemotherapy against Hypoxic Tumor

论文, 论文2023zhengxiaojie2023-06-25

Advanced Healthcare Materials,2023-06-12Full Text Mengj…

Ratiometric SERS imaging for indication of peroxynitrite fluctuations in diabetic wound healing process

论文, 论文2023zhengxiaojie2023-06-21

Received 27 March 2023, Revised 13 May 2023, Accepted 7…

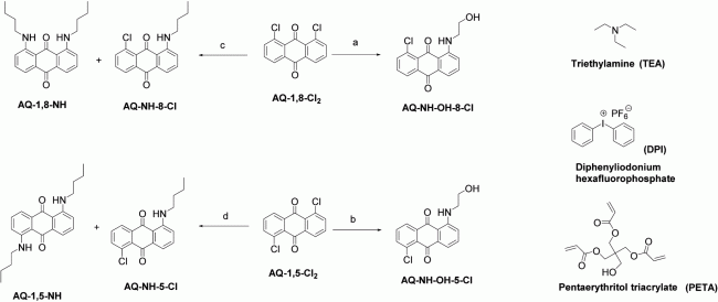
Preparation of amino-substituted anthraquinone: study of the intersystem crossing and application as efficient photoinitiators for photopolymerization

论文, 论文2023zhengxiaojie2023-06-05

Received 21st March 2023 , Accepted 28th April 2023  Fi…

Macroscopic and fluorescence detection of reactive oxygen species by using a glucose-linked tetraphenylethylene polymer gel

论文, 论文2023zhengxiaojie2023-06-05

Received 24th February 2023 , Accepted 10th April 2023F…

荧光标记的细胞外囊泡在体内和体外的不同生物应用Fluorescence labeling of extracellular vesicles for diverse bio-applications in vitro and in vivo

论文, 论文2023zhengxiaojie2023-06-01

This article is part of the themed collection: 2023 Pio…

←1
234567
…89101112…
13141516171819202122
23→
© IFMMI 2018-2024 All Rights Reserved |琼ICP备2022004653号-1
  • 海南医学院
  • 海南医学院第一附属医院
  • 海南医学院第二附属医院
  • 海南医学院附属海南医院
  • 热带转化医学教育部重点实验室
  • 国家卫生健康委员会热带病防治重点实验室
  • 急救与创伤研究教育部重点实验室
  • 药学院
  • 生物医学信息与工程学院
  • 急诊创伤学院
  • 科学网
底部菜单
返回顶部